The Euler-Maruyama scheme is a method of approximating an stochastic differential equation. Here we investigate two forms of error the scheme: the weak error and the strong error. The aim is to later we will cover Multi-Level Monte Carlo (MLMC) and related topics.
Euler. Let’s quickly recall the standard, Euler scheme: for an o.d.e.
the Euler approximation is
for . I.e. you make steps of size
.
Euler-Maruyama. The Euler-Maruyama scheme is a natural extension of this. For an s.d.e.

the Euler-Maruyama scheme is
for . Here
is independent normally distributed with mean
and variance
.
Weak Error and Strong Error. The weak error at time for a (Lipschitz) function
is
(Note this is really the distance between
and
.) The strong error is

Main Result. We prove the following
Theorem. Given and
are bounded and Lipschitz continuous then, for the Euler-Maruyama Scheme, for
real-valued, the weak error satisfies
and the strong error satisfies

Proof. In the proof, we will make good use of the twos facts:

and
The first is an application of Doob’s inequality and Itô’s isometry and the second is Gronwall’s Lemma.
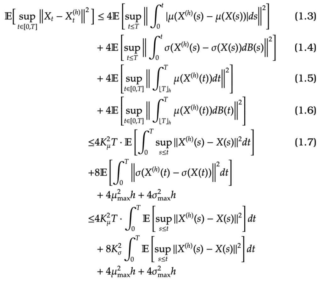
We analyze the strong error. We define . Note that
where as
The only difference between the two expressions deducted in . We use Gronwall’s Lemma to investigate the impact of these two terms. Thus

There are lots of small (but standard) changes going on in the expressions above. In the first inequality above we use the fact that . For the term (1.7) from (1.3) , we apply the Lispchitz property of
, then we apply Jensen’s inequality to take the square inside the integral (thats where the
comes from in (1.7) ), then we take the supremum inside the expectation. For (1.7) from (1.4), we apply the Itô isometry from above. For (1.5) and (1.6), we use the boundedness of
and
. Then in the third inequality, we apply the Lipschitz property to
then we take a supremum side the integral.
Notice in the end we see that
Thus by Gronwall’s Lemma
Thus taking a square root gives the required result.
We analyze the weak error. We note that if is real-valued then

[The first bound works for real valued since
.] Applying Gronwall’s Lemma again
Thus,

QED
References.
Proofs of convergence for the Euler-Maruyama method can be found in Bally & Talay. The book of Kloeden and Platen proof of weak and strong convergence (though I am yet to get hold of a copy). Note the proof above follows well established lines for proving path-wise uniqueness of SDEs. Giles keeps good slides on his website surveying the area and has recent proofs removing the Lipschitz assumptions. An alternative approach that improves on Euler-Mayurama is Milstein \cite{mil1975approximate} and I will develop the notes in this direction in due course.
Bally, Vlad, and Denis Talay. “The Euler scheme for stochastic differential equations: error analysis with Malliavin calculus.” Mathematics and computers in simulation 38.1-3 (1995): 35-41.
Bally, Vlad, and Denis Talay. “The law of the Euler scheme for stochastic differential equations: II. Convergence rate of the density.” (1995).
Kloeden, Peter E., and Eckhard Platen. Numerical solution of stochastic differential equations. Vol. 23. Springer Science & Business Media, 2013.
Mike Giles: http://people.maths.ox.ac.uk/~gilesm/
Mil’shtejn, G. N. “Approximate integration of stochastic differential equations.” Theory of Probability & Its Applications19.3 (1975): 557-562.
Could you please explain why
is true in the weak argument? Is X^h is always smaller or larger than X? Maybe we can do positive and negative parts separately?
LikeLike