We briefly explain the principles behind dynamic programming and then give its definition.
An Introductory Example
In the figure below there is a tree consisting of a root node labelled and two leaf nodes colored grey. For each edge, there is a cost. Your task is to find the lowest cost path from the root node to a leaf.

There are a number of ways to solve this, such as enumerating all paths. However, we are interested in one approach where the problem is solved backwards, through a sequence of smaller sub-problems. Specifically, once we reach the penultimate node on the left (in the dashed box) then it is clearly optimal to go left with a cost of . This solves an easier sub problem and, after solving each sub problem, we can then attack a slightly bigger problem. If we solve for each leaf in this way we can solve the problem for the antepenultimate nodes (the node before the penultimate node).
Thus the problem of optimizing the cost of the original tree can be broken down to a sequence of much simpler optimizations given by the shaded boxed below.

From this we see the optimal path has a cost of and consists of going right, then left, then right.
Let’s consider the problem a little more generally in the next figure. The tree on the righthand-side has a lowest cost path of value and the lefthand-side tree has lowest cost
and the edges leading to each, respective tree, have costs
and
. Once the decision to go left or right is made (at cost
or
) it is optimal to follow the lowest cost path (at cost
or
). So
, the minimal cost path from the root to a leaf node satisfies

Similarly, convince yourself that the same argument applies from any node in the tree network that is

where is the minimum cost from
to a leaf node and where for
is the node to the lefthand-side or righthand-side of
. The equation above is an example of the Bellman equation for this problem, and in our example, we solved this equation recursively starting from leaf nodes and working our way back to the root node.
The idea of solving a problem from back to front and the idea of iterating on the above equation to solve an optimisation problem lies at the heart of dynamic programming.
Definition
We now give a general definition of a dynamic programming:
Time is discrete ;
is the state at time
;
is the action at time
; The state evolves according to functions
. Here

This is called the Plant Equation. A policy choses an action
at each time
. The (instantaneous) reward for taking action
in state
at time
is
and
is the reward for terminating in state
at time
.
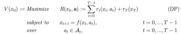
Def.[Dynamic Program] Given initial state , a dynamic program is the optimization

Further, let (Resp.
) be the objective (Resp. optimal objective) for when the summation is started from
, rather than
.
Thrm [Bellman’s Equation] and for

where and
.
Proof. Let . Note that

One thought on “Dynamic Programming”