Skip to content
Applied Probability Notes
Menu
Home
PDF
Index
About
Home
PDF
Index
About
Previous Image
Screen Shot 2018-05-31 at 05.27.44
Leave a comment
Cancel reply
Δ
Post navigation
Published in
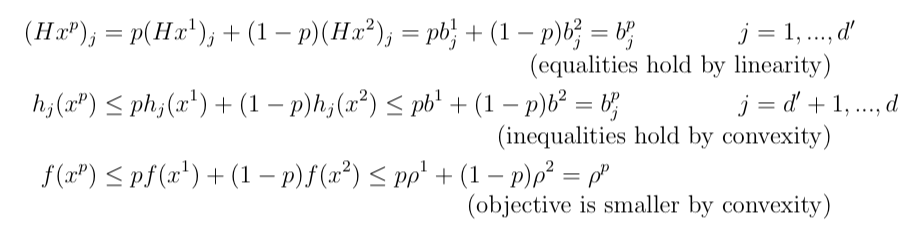
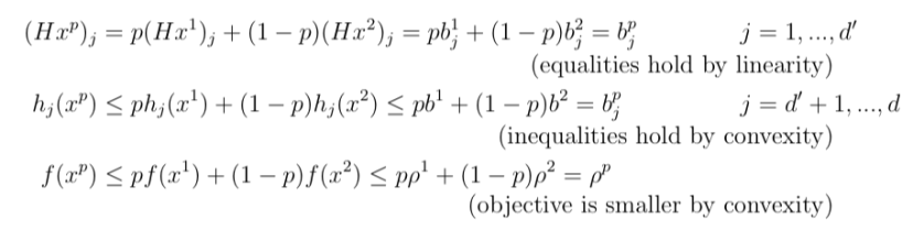
Lagrangian Optimization
Comment
Subscribe
Subscribed
Applied Probability Notes
Join 48 other subscribers
Sign me up
Already have a WordPress.com account?
Log in now.
Applied Probability Notes
Subscribe
Subscribed
Sign up
Log in
Copy shortlink
Report this content
View post in Reader
Manage subscriptions
Collapse this bar